¿Cómo Determinar límites de funciones algebraicas?

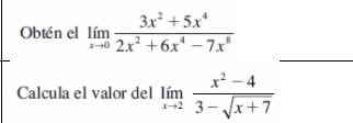
Se trata de una pregunta de calculo diferencial, en la que se debe calcular el limite de la siguiente función. Aunque sea solo la primera, de antemano gracias.

1 Respuesta

Respuesta
1

·

·

¡Hola Francisco!

Si evalúas el primer límite en x=0 te da 0/0, pero fíjate que puedes simplificar x^2 muy fácilmente

$$\begin{align}&\lim_{x\to 0}\frac{3x^2+5x^4}{2x^2+6x^4-7x^8}=\\&\\&\lim_{x\to 0}\frac{3+5x^2}{2+6x^2-7x^6}=\frac{3+0}{2+0+0}= \frac 23\\&\\&----------------\\&\\&\lim_{x\to 2}\frac{x^2-4}{3- \sqrt{x+7}}=\frac{4-4}{3-\sqrt 9}=\frac 00\\&\\&\text{Multiplicaremos y dividiremos por el denominador}\\&\text{con el signo central cambiado}\\&\\&\lim_{x\to 2}\frac{x^2-4}{3- \sqrt{x+7}}=\\&\\&\lim_{x\to 2}\frac{(x^2-4)(3+\sqrt{x+7})}{(3- \sqrt{x+7})(3+ \sqrt{x+7})}=\\&\\&\lim_{x\to 2}\frac{(x^2-4)(3+\sqrt{x+7})}{9-(x+7)}=\\&\\&\lim_{x\to 2}\frac{(x^2-4)(3+\sqrt{x+7})}{-x+2}=\\&\\&\text{Vemos que el numerador tiene un producto notable}\\&\\&\lim_{x\to 2}\frac{(x+2)(x-2)(3+\sqrt{x+7})}{-x+2}=\\&\\&\text{Se pueden simplificar (x-2) y (-x+2) pero dejando un signo }-\\&\\&=\lim_{x\to 2}\;-(x+2)(3+\sqrt{x+7})=4(3+\sqrt 9)=24\end{align}$$

:

:

Añade tu respuesta

Haz clic para o

Más respuestas relacionadas