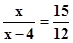
En la figura, determinar el valor de x

En la siguiente figura l1//l2, determinar el valor de x.
2 respuestas
Respuesta de Luis Alberto Candio Salcedo
1
Respuesta de Valero Angel Serrano Mercadal
1
