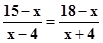
En la figura, determinar el valor de x

En la siguiente figura, L1//L2, Hay que determinar el valor de x
Ayuda con ese ejercicio.
2 respuestas
Respuesta de Luis Alberto Candio Salcedo
1
Respuesta de Valero Angel Serrano Mercadal
1

