Solucionar el siguiente ejercicio de calculo integral
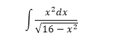
Necesito solucionar el siguiente ejercicio que dice lo siguiente: Evalúa cada una de las siguientes integrales usando la sustitución trigonométrica. La ecuacion del problema viene en la imagen

1 Respuesta
Respuesta de Valero Angel Serrano Mercadal
1