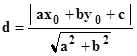
Hallar la ecuación de una recta paralela a otra en su forma general.
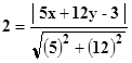
Hallar la ecuación de una recta que diste 2 unidades del origen y sea paralela a la recta de ecuación
5 x + 12 y = 3.
Creo que serian dos rectas que disten 2 unidades de la recta dada. La solucion no seria unica, pero no se como encontrar dicha recta.
2 respuestas
Respuesta de Valero Angel Serrano Mercadal
2
Respuesta de Luis Alberto Candio Salcedo
1




Tienes razón no tuve en cuenta ese dato - Luis Alberto Candio Salcedo