Como resuelvo este ejercicio Producto notables
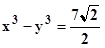
si x+y=2 x^2+y^2=3 x>y
Cacular E= x^3-y^3
Respuesta de Luis Alberto Candio Salcedo
2
1 respuesta más de otro experto
Respuesta de Valero Angel Serrano Mercadal
1


