Dante Quispe

Dante Quispe

 Perú @dantequispe desde - visto
Preguntar

Actividad pública reciente

Ha valorado "Excelente" la respuesta

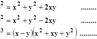
Como resuelvo este ejercicio Producto notables

respondió: Como estas: Ante todo, debemos colocar algunos productos notables: Los datos son: Reemplazamos el datos (a), (b) en (I): 1 = 2xy o 1/2 = xy Luego: Reemplazamos el datos (a) y 2xy = 1 en (II): Luego: Finalmente, reemplazamos en (III): Tenemos: Eso es...
Ha valorado "Excelente" la respuesta

Duda En Álgebra sobre productos notables

respondió: Como estas: Me piden hallar: El dato: a + b = 4, lo elevamos al cubo: Desarrollamos por productos notables: Reemplazamos. a.b = 1, además: a + b = 4 Luego: Que es lo querías calcular. Espero que puedas entender. SALUDOS y no te olvides de puntuar la...