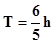
Me pueden explicar el siguiente problema no entiendo muy bien como hacer la operación
Un estanque se llena con una de dos llaves en 3 horas. Y con la segunda en 2 horas. Cuanto tiempo tardara en llenar el estanque vacío si se habren las dos llaves:
Estas son las posibles respuestas:
a)2 horas 12 minutos b)1 hora 12 minutos c)1 hora 14 minutos
d)1 hora 24 minutos
2 respuestas
Respuesta de Luis Alberto Candio Salcedo
1
Respuesta de Valero Angel Serrano Mercadal
1

