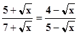
Ecuaciones Irracionales ¿Cómo se desarrolla?
Alguien me explicaría como se desarrolla esto, cuando mi profesor lo hace realmente no se le entiende muy bien y me confunde Dx

2 respuestas
Respuesta de Luis Alberto Candio Salcedo
1
Respuesta de Valero Angel Serrano Mercadal

