¿Cómo obtener el foco, vértice y la directriz de una parábola?
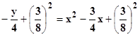
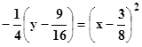
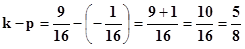
Cuando me dan la ecuación de una parábola en este caso y = -4x^2+3x tengo que completar cuadrados para obtener el foco,¿vértice y directriz?
1 respuesta
Respuesta de Luis Alberto Candio Salcedo
1




