Suma y Resta de Polinomios (2x³ + 3x² - 4x + 9) - (-2x³ - x² + 4x - 9)
Su ayuda con este ejercicios de suma y resta de polinomios.
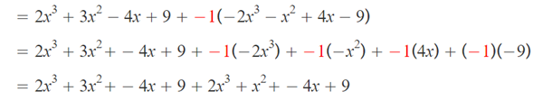
Cuál es la solución para la siguiente resta de polinomios
(2x³ + 3x² - 4x + 9) - (-2x³ - x² + 4x - 9)
2 respuestas
Respuesta
1
Respuesta de Valero Angel Serrano Mercadal
1


