-
-
Claro hermano, un gusto ayudarte!
1 ejercicio:
Resolvamos los paréntesis primero hermano:
-(-3ab-5b) Si los números tienen el mismo signo, se suman los valores.
Recuerda:

Entonces queda:
3ab+5b
Proseguimos:
-(-5ab-2b)
Realizas lo anterior y te queda:
+5ab+2b
Por último:
-(2ab+3b) Si el numero no tiene signo, por lógica es valor positivo +
Nos da:
−2ab+−3b
Ya realizado lo anterior solo queda sumarlas con sus términos semejantes:
3ab+5ab−2ab +2b+5b−3b
Respuesta:
6ab+4b
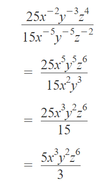
Segundo ejercicio:

Expliquemos lo anterior con las reglas de los exponentes:
Los exponentes en la división se restan, mientras los términos se dividen.
Ejemplo:
-2/-5=
=(-2)-(-5)
=-2+5
=3
Como el resultado de 25 entre el 15 da decimal, lo que hice fue simplificar la fracción:
25/15
Dividi ambos terminos por 5 y me quedo:
5/3
Un gran saludo hermano!
-
-