Determine el número de personas en la fiesta
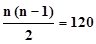
Un total de 120 estrechadas de mano se efectuaron al final de una fiesta, suponiendo que cada uno de los participantes es cortés con cada uno de los demás asistentes. Determine el número de personas en la fiesta.
1 respuesta
                    Respuesta de Luis Alberto Candio Salcedo                
                