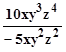
Matemáticas Emy Rivera Balbuena el 30 oct. 15 Como se puede dividir monomios y polinomios 10xy³z⁴÷ -5xy²z²=? Seguir Siguiendo Dejar de seguir 1 Respuesta Respuesta de Luis Alberto Candio Salcedo 0 0 Luis Alberto Candio Salcedo, Profesor de Álgebra - Geometría - Trigonometría Emi como tas:Se Tiene:Luego:- 2yz^2Eso es todo. el 30 oct. 15 - Anónimo ahora mismo Añadir comentario Usa los comentarios si quieres aportar algo a esta respuesta. No los utilices para preguntar algo nuevo. Cancelar Enviar