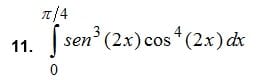
Solucionar esta integral definida paso a paso calculo integral mencionar la técnica para resolver

Buen día señores de todos expertos estoy culminando este taller para presentar mi examen y practicar lo que ustedes han plasmado en sus respuestas garcías feliz día
1 respuesta
Respuesta de Valero Angel Serrano Mercadal
1