Desarrollar los siguientes limites calculo

Buen día espero me puedan ayudar para resolver paso a paso para así tener mejor entendimiento

1 respuesta

Respuesta
1

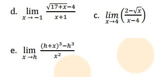
d) Es una indeterminación 0/0. Estas se resuelven simplificando la expresión algebraica, y el truco en el caso de radicales es multiplicar y dividir por la expresión conjugada (la suma si hay una resta con radicales y viceversa(la resta si hay una suma)). Así podremos aplicar la identidad notable:

$$\begin{align}&(a+b)(a-b)=a^2-b^2\\&\\&d)\\&\lim_{x\to -1} \frac{\sqrt{17+x}-4}{x+1}=\frac{0}{0}=\lim_{x\to -1} \frac{\sqrt{17+x}-4}{x+1}· \frac{\sqrt{17+x}+4}{\sqrt{17+x}+4}=\\&\\&=\lim_{x\to -1} \frac{(\sqrt{17+x})^2-4^2}{(x+1) {(\sqrt{17+x}+4)}}=\lim_{x\to -1} \frac{17+x-16}{(x+1) {(\sqrt{17+x}+4)}}=\\&\\&\lim_{x\to -1} \frac{x+1}{(x+1) {(\sqrt{17+x}+4})}=\lim_{x\to -1} \frac{1}{\sqrt{17+x}+4}=\frac{1}{4+4}=\frac{1}{8}\\&\\&\end{align}$$

Manda los otros en preguntas separadas

Saludos

:

:

Añade tu respuesta

Haz clic para o

Más respuestas relacionadas