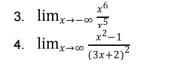
Introducción al calculo limite calcular los siguientes limites

Estoy trabajando en estos ejercicios pero me gusta comparar resultados y ustedes son mi guía
2 Respuestas
Respuesta
1
Respuesta de Valero Angel Serrano Mercadal
1

