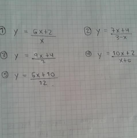
Hallar dominio de estas funciones:

1 respuesta

Respuesta
1

·

·

¡Hola Sararozo!

Este tipo de funciones que son un polinomio entre otro se llaman racionales. Y están definidas en todo R menos en los puntos donde el denominador se hace 0, luego:

$$\begin{align}&1)\quad  Dom f=\mathbb R-\{0\}\\&\\&\\&2)\\&3-x=0\implies 3=x\\&Dom f=\mathbb R-\{3\}\\&\\&\\&3)\\&\text{El denominador es constante,  no se anula nunca}\\&Dom f=\mathbb R\\&\\&\\&4)\\&x+6=0 \implies x=-6\\&Dom f=\mathbb R-\{-6\}\\&\\&\\&5)\\&\text{El denominador es constante,  no se anula nunca}\\&Dom f=\mathbb R\\&\end{align}$$

.

.

Añade tu respuesta

Haz clic para o

Más respuestas relacionadas