Ejercicios prácticos I, debo poner la resolución de problemas

Elaborar un problema aplicado a la PyME, donde utilices progresiones aritméticas y geométricas.

1 respuesta

Respuesta

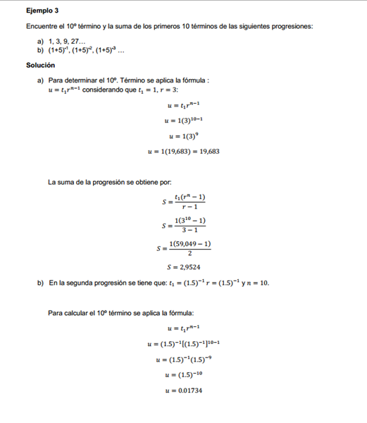
Te comparto información acerca de un libro que tengo en mi colección:

Como observas viene distintos ejemplos los cuales puedes utilizar para tu problema hermana, y además puedes entender de manera más completa el tema.

Añade tu respuesta

Haz clic para o

Más respuestas relacionadas