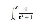
Alguien que me explique la siguiente integral

Quiero saber como se puede resolver la siguiente integral, pensaba en subirlo al exponencial a la -1 pero entonces tendría (t 3+1)-1

1 respuesta

Respuesta
1

Marco Rodriguez!

·

En realidad es una integral de las llamadas racionales y no es de las más fáciles. Supongo que habrás aprendido el método de descomposición en fracciones simples.

Primero factorizamos el denominador. Esta bien claro que -1 es una raíz, luego (x+1) es un factor. Ahora aplicamos Ruffini

 1 0 0 1
-1 -1 1 -1
      ----------------
      1 -1 1 0

Luego el otro factor es x^2-x+1, la factorización es

(x+1)(x^2-x+1)

Ya que el segundo factor es irreducible, si pruebas a resolver la ecuación te dará números complejos.

De acuerdo a esos factores la descomposición en fracciones simples es esta

$$\begin{align}&\frac{1}{t^3+1}=\frac{1}{(t+1)(t^2-t+1)}=\\&\\&\frac a{t+1}+\frac{bt+c}{t^2-t+1}=\\&\\&\frac{at^2-at+a+bt^2+bt+ct+c}{t^3+1}=\\&\\&\frac{(a+b)t^2+(-a+b+c)t+a+c}{t^3+1}\\&\\&\text{esto obliga a que}\\&\\&(a+b)t^2+(-a+b+c)t+a+c = 1\\&\\&\text{que proporciona tres ecuaciones}\\&\\&a+b=0\implies b=-a\\&-a+b+c=0\implies -2a+c=0\\&a+c=1\\&\\&\text{Si a la segunda le restamos la tercera}\\&-3a=-1\implies a=\frac 13,b=-\frac 13,c=\frac 23\\&\\&\text{con lo cual la integral es}\\&\\&\int \frac {dt}{t^3+1}= \frac 13\int \left(\frac{1}{t+1}+\frac{-t+2}{t^2-t+1}  \right)dt=\\&\\&\frac {ln|t+1|}3- \frac 13 \int \frac{t-2}{t^2-t+1}dt=\\&\\&\frac {ln|t+1|}3- \frac 16 \int \frac{2t-4}{t^2-t+1}dt=\\&\\&\frac {ln|t+1|}3- \frac 16 \int \frac{2t-1}{t^2-t+1}dt+ \frac 16\int \frac{3}{t^2-t+1}dt=\\&\\&\frac {ln|t+1|}3-\frac {ln|t^2-t+1|}{6}+\frac 12\int \frac{dt}{\left(t-\frac 12\right)^2-\frac 14+1}=\\&\\&\frac {ln|t+1|}3-\frac {ln|t^2-t+1|}{6}+\frac 12\int \frac{4\;dt}{(2t-1)^2+3}=\\&\\&\frac {ln|t+1|}3-\frac {ln|t^2-t+1|}{6}+2\int \frac{dt}{3\left[\left(\frac{2t+1}{\sqrt 3} \right)^2+1  \right]}=\\&\\&\frac {ln|t+1|}3-\frac {ln|t^2-t+1|}{6}+\frac {2}{3}·\frac{\sqrt 3}{2}\int \frac{\frac{2}{\sqrt 3}}{\left(\frac{2t+1}{\sqrt 3} \right)^2+1}dt=\\&\\&\frac {ln|t+1|}3-\frac {ln|t^2-t+1|}{6}+\frac{\sqrt 3}{3}arctg\left(\frac{2t+1}{\sqrt 3} \right)\\&\\&\text{Y esto evaluado entre 9 y X es}\\&\\&\frac {ln|X+1|}3-\frac {ln|X^2-X+1|}{6}+\frac{\sqrt 3}{3}arctg\left(\frac{2X+1}{\sqrt 3} \right)-\frac{ln \,10}{3}+\frac{ln\, 73}{6}-\frac{\sqrt 3}{3}arctg\left(\frac{19}{\sqrt 3} \right)\\&\\&\end{align}$$

Y eso es todo.

Muchas gracias fue de los complejo de analizar de lo que esperaba, ¿una pregunta que pasa si tengo d/dx al inicio de la operación?

----------

-----

Esta página no hace mas que fallar, la tabla de Ruffini hecha en un bloque de texto la dejó como le vino en gana, así va a ser imposible hacer cosas matemáticas en esta página, era esta

      1   0   0   1

-1      -1   1  -1

---------------

1 -1 1 |0

·

Si tienes d/dX al principio es un problema completamente distinto y te podrías haber ahorrado todas estas cuentas. Por el teorema fundamental del calculo tenemos

$$\begin{align}&\text{Si f(x) es integrable en [a,b] y definimos F en [a,b] como}\\&\\&F(x)=\int_a^xf(t)dt\\&\\&\text{Entoces, si f es continua en }c \in (a,b), \\&\text{F es derivable en c y F'(c) = f(c).}\\&\\&Luego \\&\\&\frac{d}{dx}F(x)=f(x)\\&\\&\frac{d}{dx}\left(\int_a^xf(t)dt  \right) = f(x)\\&\\&\frac{d}{dx}\left(\int_9^x \frac{1}{t^3+1}dt  \right)=\frac{1}{x^3+1}\end{align}$$

Luego si este era el ejercicio me lo tenías que haber mandado completo desde el principio y era así de sencillo, no era un ejercicio de calcular una integral sino de aplicar el teorema fundamental.

Saludos.

-----

---------

Añade tu respuesta

Haz clic para o

Más respuestas relacionadas