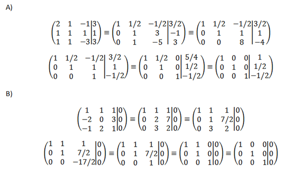
¿Cómo resuelvo las siguientes ecuaciones por método de inversión matricial?
A: 2 x + y - Z=3
X + y + Z=1
X + y -3 Z= 3
Y b:
X + y + z=0
-2x + 3 z=0
-x + 2 y + z=0
Respuesta
1

