Tripero Al Mango

Tripero Al Mango

 Argentina @triperoalmango desde - visto

Actividad pública reciente

Ha preguntado en el tema en

¿Cómo represento analíticamente estas inecuaciones?

A: Y (mayor o igual) X + 1 B: Y ( menor o iguAl) X + 3 C: Y < 2 X + 1 D: Y > X
Sin respuestas
Ha valorado "Excelente" la respuesta

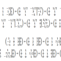
¿Cómo resuelvo las siguientes ecuaciones por método de inversión matricial?

respondió: No estoy seguro si lo que quieres es ir triangulando la matriz hasta llegar a la identidad (es la primera vez que escucho el término "inversión matricial") Te dejo la imagen de las matrices con las soluciones La solución del caso B) es x=y=z=0 y para...
Ha valorado "Excelente" la respuesta

Dadas estas matrices. Como las resuelvo?

respondió: Te paso 3b (lo calculas multiplicando cada elemento de la matriz b por 3) 3b = (3 9 12 3 -9 6) (a-b)+c (lo calculas aplicando esa operación elemento a elemento) (a-b)+c = ((1-1)+2 (0-3)+(-3) (2-4)+(-2) (1-1)+0 (-1-(-3))+2 (4-2)+0 ) y calculado ( 2 -6...
Ha preguntado en el tema en

¿Qué son el rendimiento y la riqueza?

Hola, quisiera que me ayuden un poco con estos términos que no puedo asimilarlos del todo. ¿A qué se refieren? Agradecería que me lo expliquen con un ejemplo Un saludo.
Sin respuestas
Ha preguntado en el tema en

¿Cuál es el producto escalar de estos vectores y como calculo el angulo que forman?

Vector a: -2, 0, 1 vector b: 3,0,2 ¿Puedo encontrar algún vector que resulte perpendicular?
Ha valorado "Excelente" la respuesta

Dos problemas estequimetricos, equivalentes y moles

respondió: Para saber el peso equivalente o equivalente gramo de una substancia debes saber la valencia de dicha sustancia y dividirlo por la valencia de la substancia. ""Peso equivalente ó equivalente gramo de una sustancia: Peq = Eq − gr = masa atómica ó...
Ha valorado "Excelente" la respuesta

Como puedo calcular este problema?

respondió: · Al principio hay 200000 Al finalizar el año primero hay 200000 · 1.35 Al finalizar el segundo hay (200000·1.35)·1.35 = 200000·1.35^2 Al acabar el tercero hay (200000·1.35^2)·1.35= 200000·1.35^3 ... Al acabar el año n-ésimo hay 200000·1.35^n · Luego...
Ha preguntado en el tema en

Angulo de elevación del sol

¿Podemos determinar el ángulo de elevación del sol en un instante que un hombre de 1,75m de estatura produce una sombra de 82cm de longitud en el suelo?
Ha empezado a seguir el tema