¿Campo Gravitacional, me dan las siguientes respuestas?

Les agradecería mucho si me explicaran, los vectores de posición tengo una una idea de como más o menos se sacan.

Muchas gracias y que tengan un excelente día hermanos y hermanas.

1 respuesta

Respuesta
1

·

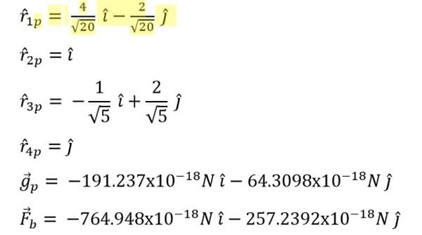
Lo que veo hecho es el cálculo de los vectores unitarios de la fuerza que ejerce cada masa en el punto (1, 2) km, pero el cuarto vector está mal, es 5j.

Luego se multiplicaría cada vector por la masa y dividiría por la distancia al cuadrado, teniendo en cuenta que la distancia debe traducirse a metros. Eso en la practica es multiplicar por 10^(-6), podemos hacer los cálculos en kilometros y al final del todo multiplicaremos por esa constante junto con la G. Para abreviar llamaré

k=G · 10^(-6)

Y la fuerza que experimentara una masa de 4 kg será el producto del campo por 4

$$\begin{align}&\vec g_{1p}=k·\frac{5}{20}·\frac{1}{\sqrt {20}}\left( 4\vec i-2\vec j \right)\approx\\&\qquad k·(0.2236067977\vec i - 0.1118033989\vec j)\\&\\&\vec  g_{2p}=k·3\vec i\\&\\&\vec g_{3p}=k·\frac{4}{5}·\frac{1}{\sqrt 5}(-\vec i+2\vec j)\approx\\&\qquad k·(-0.3577708764\vec i + 0.7155417528\vec j)\\&\\&\vec g_{4p}= k·\frac{9}{25}\vec j\\&\\&\text{Ahora sumo los cuatro vectores}\\&\\&\vec g_p =k(2.865835921\vec i, 0.96373835394\vec j)\\&\\&\text{recordemos que}\\&\\&k=G·10^{-6}=6.67384·10^{-17}\\&\\&\vec g_p =1.92261304·10^{-15}\frac N{kg}\; \vec i+6.431835576·10^{-16} \frac{N}{kg}\;\vec j\\&\\&\text {Y la fuerza es eso mismo multiplicado por 4}\\&\\&\vec F_b=7.69045216·10^{-15}N\;\vec  i+2.57273423·10^{-15} N\vec j\\&\\&\end{align}$$

Y eso es todo, los resultados que había difieren ligeramente el algún decimal y sobre todo en el signo, el que he puesto yo es el auténtico.

Disculpa hermano por la molestia de nuevo, me podrías explicar de donde sale la que, es que soy nuevo en esto, muchas gracias.

Donde sale la K, disculpa mi error ortográfico.

La k es una constante que me he inventado yo para no andar escribiendo números y números.

k = G · 10^(-6)

Entonces k incluye la constante gravitacional 6.67384 · 10^{-11}

Y el 10^6 es la penalización que debe soportarse por trabajar con la distancia en kilómetros en vez de metros, como es la distancia al cuadrado, si trabajáramos con metros el denominador sería un millón de veces más grande. Como trabajo en kilómetros para que los números sean más sencillos al final hay que multiplicar por ese 10^{-6}.

Y como k es el producto de esas dos constantes su valor es:

6.67384 · 10^{-17}

Son todo formas para abreviar la escritura y mostrar solo y centrarse en lo realmente importante.

Y eso es todo.

Añade tu respuesta

Haz clic para o
El autor de la pregunta ya no la sigue por lo que es posible que no reciba tu respuesta.

Más respuestas relacionadas