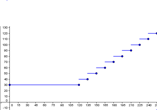
En un estacionamiento del centro de una ciudad se paga por “hora y fracción”, lo que implica que si un auto permanece
Estacionado dos horas o menos se le cobrará $30, si después de las dos horas permanece estacionado 15 minutos o menos se le cobrarán $10 más, si despues de las dos horas permanece más de quince minutos pero no excede media hora se le cobrará $20. Éste proceso sigue así en adelante, cada quince minutos extra se le cobrarán $10 más de lo que ya lleva acumulado.
- Determine una regla de correspondencia algebraica para esta función.
- Enliste los puntos de discontinuidad (muestre que en ellos no coinciden los límites laterales), aclare de qué tipo son y argumente la necesidad de ellos.
- Grafique la función en tiempo contra costo en un dominio de 4 horas.
- Explique con todo detalle y una redacción lógica por qué el cobro por estacionamiento no podrá ser un múltiplo de $5.
- Determine virtudes y dificultades de establecer un sistema de cobro continuo (que dé lugar a una función continua)
2 Respuestas
Respuesta
1
Respuesta de Valero Angel Serrano Mercadal
1


