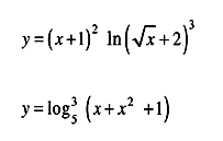
Tengo una duda con este ejercicio de mate derivadas

Ayudenme con estos problemas derivadas puntuó excelente gracias ..
1 respuesta
Respuesta de Valero Angel Serrano Mercadal
1