Tengo dudas con este problema de derivada

Ayúdenme con estos problemas por favor gracias 

puntuó excelente

1 respuesta

Respuesta
1

·

¡Madre mía cuánto trabajo!

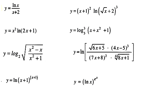
Aquí tenemos la costrumbre de responder como mucho dos integrales de tipo medio por pregunta y estas son de tipo medio-alto. Contestaré las dos primeras y las otras mándalas si quieres pero nunca más de dos ejercicios por pregunta.

Los dos primeros son aplicaciones sencillas de las reglas de la derivada del cociente y del producto que supongo conocerás.

$$\begin{align}&y= \frac{lnx}{x+2}\\&\\&y'=\frac{\frac 1x·(x+2)-lnx·1}{(x+2)^2}=\\&\\&\frac{\frac{x+2-x·lnx}{x}}{(x+2)^2}=\frac{x+2-x·lnx}{x(x+2)^2}\\&\\&\text{Y se deja así, o si al profesor le gusta que trabajes}\\&\\&y'= \frac{x+2-x·lnx}{x^3+4x^2+4x}\\&\\&---------\\&\\&y=x^2\,ln(2x+1)\\&\\&y'=2x\,ln(2x+1)+x^2·\frac{1}{2x+1}·2 =\\&\\&2x\,ln(2x+1)+\frac{2x^2}{2x+1}\end{align}$$

Y en este segundo no merece la pena ni poner factor común ni denominador común ni nada.

Y eso es todo.

¡Gracias! 

ok muchas gracias no sabia que solo se podían contestar 2 preguntas estaré subiéndolas por partes gracias de nuevo 

Añade tu respuesta

Haz clic para o

Más respuestas relacionadas