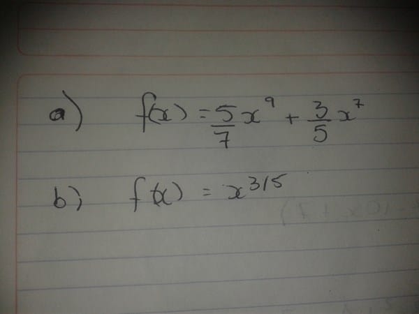
¿Me podrían apoyar con las siguientes derivadas y con la formula empleada?

Muchas gracias de antemano, tengo varios problemas, pero necesito estar segura que son correctos los que ya resolví.
1 respuesta
Respuesta de Valero Angel Serrano Mercadal
1