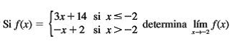
Primera parte,varios ejercicios de limites, tengo dudas en la resolución.
los pondré de 2 en 2
![]()

en otras preguntas enviare los demás ejercicios, gracias.
1 respuesta
Respuesta de Valero Angel Serrano Mercadal
1