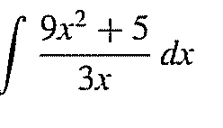
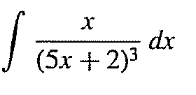
Segunda parte¿ Calcular estas integrales?


estos son los ejercicios restantes, gracias por su tiempo y ayuda.
1 Respuesta
Respuesta de Lucas m
1