Integrales, tengo problemas con estos

Hola me pueden ayudar, tengo dudas sobre como hacer estas integrales.

2 respuestas

Respuesta
1

En general se resuelven de manera directa (con un poco de práctica), veamos:

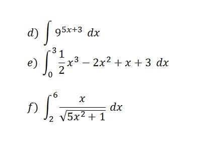
$$\begin{align}&d) (directa \ o \ puedes\ usar\ sustitución\ u=5x+3)\\&\int 9^{5x+3} = {1 \over 5ln9}9^{5x+3} + C\\&...\\&e) (directa\ sumas\ y\ restas\ de\ polinomios)\\&\int_0^3 {1 \over 2}x^3 - 2x^2+x+3 \ dx=\\&\int_0^3 {1 \over 2}x^3 \ dx - \int_0^3 2x^2\ dx+\int_0^3 x\ dx+\int_0^3 3 \ dx=\\&\Big({1 \over 2}{x^4 \over 4} - 2{x^3 \over 3}+{x^2 \over 2}+3 x \Big) \Bigg|_0^3=\\&\Big({3^4 \over 8} - {2*3^3 \over 3}+{3^2 \over 2}+3*3 \Big) -(0)=\\&{81 \over 8} - {18}+{9 \over 2}+9  = {45 \over 8}=5,625\\&...\\&f) Sustitución \ (aunque\ con \ practica\ sale\ directa)\\&\int_2^6 {x \over \sqrt{5x^2+1}} \ dx=\\&(sustitucion \ u=5x^2+1)\\&du = 10x \ dx\\&{du \over 10}=x\ dx\\&x=2 \rightarrow u=5*2^2+1=21\\&x=6 \rightarrow u=5*6^2+1=181\\&\int_{21}^{181} {1 \over \sqrt{u}} \ {du \over 10}=\\&{1 \over 10}\int_{21}^{181} u^{-1/2} \ du ={1 \over 10} {u^{1/2} \over {1 \over 2}} \Bigg|_{21}^{181}=\\&{1 \over 5} \Bigg(181^{1/2}-21^{1/2} \Bigg) \approx 1,774\end{align}$$
Respuesta
1

·

La primera no la veo de suficiente entidad para montar el tenderete de las integrales por cambio de variable, simplemente ajustaremos constantes para que dentro quede una derivada exacta y fuera se compensa con esa misma constante dividiendo.

La segunda es directa y la tercera por cambio de variable aunque también se podría hacer ajustando constantes.

$$\begin{align}&\int9^{5x+3}dx=\\&\\&\text{multiplicamos y dividimos por }ln\,9\\&\\&=\frac{1}{ln\,9}\int 9^{5x+3}ln\,9\;dx=\\&\\&\text{y multiplicamos y dividimos por 5}\\&\\&=\frac 15·\frac{1}{ln\,9}\int 5·9^{5x+3}ln\,9\;dx=\\&\\&\text{Y el integrando es la derivada exacta de }9^{5x+3}\\&\\&=\frac{9^{5x+3}}{5·ln\,9}+C\\&\\&\\&---------------------\\&\\&\\&\int_0^3 \left(\frac 12 x^3 - 2x^2 + x + 3\right) dx=\\&\\&=\left[\frac 12·\frac{x^4}{4}-2·\frac{x^3}{3}+\frac {x^2}2+3x  \right]_0^3=\\&\\&\frac{81}{8}-18+\frac 92+9-0+0-0-0=\\&\\&\frac{81+36}{8}-9=\frac{117-72}{8}=\frac {45}8\\&\\&\\&----------------\\&\\&\\&\int_2^6 \frac{x\,dx}{\sqrt{5x^2+1}}  =\\&\\&t=5x^2+1\\&dt=10x\,dx\implies x\,dx=\frac{1}{10}dt\\&x=2\implies t=5·2^2+1=21\\&x=6\implies t=5·6^2+1=181\\&\\&=\int_{21}^{181}\frac 1{10}·\frac{1}{\sqrt t}dt=\\&\\&\frac 1{10}\int_{21}^{181}t^{-\frac 12}dt=\\&\\&\left.\frac 1{10} \frac{t^{\frac 12}}{\frac 12} \right|_{21}^{181}=\left.\frac{\sqrt t}{5}\right|_{21}^{181}=\frac{\sqrt{181}-\sqrt{21}}{5}\end{align}$$

·

Y eso es todo, espero que te sirva y lo hayas entendido. Si no es así pregúntame. Y si ya está bien, no olvides puntuar. Busca la puntuación Excelente que puede pasar desapercibida si no te fijas.

Añade tu respuesta

Haz clic para o

Más respuestas relacionadas