Calcular el volumen de un sólido generado por dos curvas

Gracias por la respuesta anterior, aplicando lo que me explicaste, es correcto como estoy resolviendo este ejercicio?

1 respuesta

Respuesta
1

·

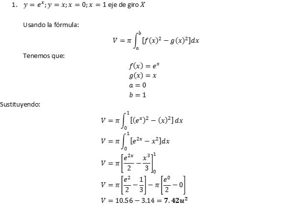
Está bien el planteamiento, siempre que antes hayas comprobado que en el intervalo [0,1] no se cortan las dos funciones.

Y lo único es que al final has tenido un fallo en las cuentas, en la última no debes restar pi sino pi/2.

Además, no sé si estudias matemáticas u otra carrera. Si estudias matemáticas no se pueden hacer esas cuentas con decimales, hay que dejar respuestas exactas.

$$\begin{align}&V = \pi\left[\frac{e^{2x}}{2}-\frac{x^3}{3}  \right]_0^1=\\&\\&\pi\left(\frac{e^2}{2}-\frac 13-\frac{e^0}2+0 \right)=\\&\\&\pi\left(\frac{e^2}{2}-\frac 13-\frac{1}2+0 \right)=\\&\\&\pi\left(\frac{e^2}{2}-\frac 26-\frac 36\right)=\\&\\&\pi\left(\frac{e^2}{2}-\frac 56\right)=\frac{(3e^2-5)\pi}{6}\\&\\&\text{Y eso se dejaría.  Si acaso se añadiría}\\&\text{un aproximadamente al final, antes no}\\&\text{se puede trabajar con decimales.}\\&\\&\approx 2.861194716131986\end{align}$$

Y eso es todo.

Añade tu respuesta

Haz clic para o

Más respuestas relacionadas