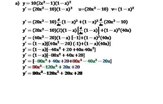
Como se deriva la siguiente función y=10(2x^2-1) (1-x)^2
Como se deriva la función y=10(2x^2-1) (1-x)^2, Realice el calculo pero quiero confirmar si lo tengo bien ,Saludos.
1 respuesta
Respuesta de Valero Angel Serrano Mercadal
2

