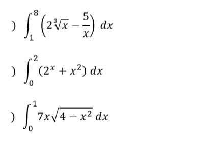
¿Cómo queda resuelta la siguiente integral?

Resuelva las siguientes integrales, de acuerdo a lo indicado en cada caso:

2 respuestas

Respuesta

Te dejo

$$\begin{align}&\int_{1}^{8} (2\sqrt[3]{x}-{5 \over x}) \;dx = \int_{1}^{8} 2\sqrt[3]{x} \;dx-\int_{1}^{8}{5 \over x} \;dx = \\&2 {x^{4/3} \over {4 \over 3}} - 5 \ln x \Big ]_{1}^{8} = \\&{3 x^{4/3} \over 2} - 5 \ln x \Big ]_{1}^{8} = \\&({3*8^{4/3} \over 2} - 5 \ln 8) - ({3*1^{4/3} \over 2} - 5 \ln 1)\\&Te \; queda\; resolverlo\\&\\&\int_{0}^{2}(2^x+x^2)\;dx=\int_{0}^{2}2^x\;dx+\int_0^2x^2\;dx=\\&{2^x \over \ln2}+{x^3 \over 3}\Big ]_{0}^{2}\\&({2^2 \over \ln2}+{2^3 \over 3}) - ({2^0 \over \ln2}+{0^3 \over 3})\\&Te \; queda\; resolverlo\\&\end{align}$$

Tengo que irme y no llego a resolver el tercero pero plantea la sustitución u=4-x^2

En caso que no te lo resuelvan cuando vuelva a conectarme te completo el tercer ejercicio.

Te agrego la última integral que me faltaba (en todos los casos te queda hacer los cálculos)

$$\begin{align}&\int_0^1 7x\sqrt{4-x^2}\;dx\\&(sustitucion \;u = 4-x^2)\\&du = -2x \;dx\\&{-du \over 2} = x\;dx\\&\int_0^1 7\sqrt{u}\;{-du \over 2} = \\&{-7 \over 2 }\int_0^1 \sqrt{u}\;du= \\&{-7 \over 2} {u^{3/2} \over {3 \over 2}} \Big ]_{0}^{1} = \\&{-7 \over 3} (4-x^2)^{3/2}  \Big ]_{0}^{1} = \\&{-7 \over 3} ((4-1^2)^{3/2}- (4-0^2)^{3/2}) = \\&\\&\\&\\&\\&\end{align}$$
Respuesta

·

Estamos resolviendo como mucho dos integrales por pregunta. Si tienes más integrales deberás hacerlo en varias preguntas.

·

$$\begin{align}&\int_{1}^{8} \left(2 \sqrt[3]{x}-\frac 5x\right) \;dx=\\&\\&\int_{1}^{8} \left(2 x^{1/3}-\frac 5x\right) \;dx=\\&\\&\left[2·\frac{x^{4/3}}{\frac 43}-5\,ln|x|  \right]_1^8=\\&\\&\left[\frac {3}{2}x^{4/3}-5\,ln|x|  \right]_1^8=\\&\\&\frac 32·(2^3)^{\frac 43}-5\,ln\,8-\frac 32+5\,ln\,1=\\&\\&\frac 322^4-5\,ln\,8-\frac 32+5·0 =\\&\\&24-5\,ln\,8-\frac 32=\\&\\&\frac{45}{2}-5\,ln\,8\\&\\&\end{align}$$

Y la segunda es:

$$\begin{align}&\int_{0}^{2}(2^x+x^2)\;dx=\\&\\&\int_0^22^xdx+\int_0^2x^2dx=\\&\\&\frac{1}{ln\,2}\int_0^2 2^xln2\;dx +\left.\frac {x^3}{3}\right|_0^2=\\&\\&\left.\frac{1}{ln2}·2^x\right|_0^2+\frac 83-0=\\&\\&\frac{1}{ln\,2}(2^2-2^0)+\frac 83=\\&\\&\frac{3}{ln\,2}+\frac 83\end{align}$$

·

Y eso es todo.

Añade tu respuesta

Haz clic para o

Más respuestas relacionadas