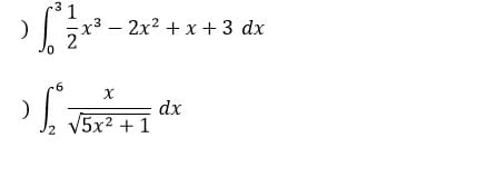
¿Cuál es el procedimiento adecuado a aplicar para resolver esta integral matemática de acuerdo a su tipo?
La integración es un concepto fundamental del cálculo y del análisis matemático. Básicamente, una integral es una generalización de la suma de infinitos sumandos, infinitamente pequeños.
¿Cuál es el procedimiento adecuado a aplicar para resolver esta integral? Realiza de la forma mas adecuada el ejercicio de integración.
Aplica los procedimientos adecuados para determinar la integral de funciones adecuadas para este tipo. (incluye procedimiento)

1 Respuesta
Respuesta de Valero Angel Serrano Mercadal
2