¿Cómo desarrollar el procedimiento de la siguiente integral?

Cuál es el procedimiento para dar solución a está integral de la Materia de Matemáticas Administrativas.

1 respuesta

Respuesta
1
$$\begin{align}& \end{align}$$

¡Hola Javier!

·

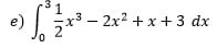
Es una integral inmediata

$$\begin{align}&\int_0^3\left(\frac 12 x^3-2x^2+x+3  \right)dx=\\&\\&\left[ \frac 12·\frac{x^4}{4}-2·\frac{x^3}{3}+\frac {x^2}2+3x\right]_0^3=\\&\\&\left[\frac{x^4}{8} -\frac{2x^3}{3}+\frac {x^2}2+3x \right]_0^3=\\&\\&\frac{81}{8}-\frac {54}3+\frac 92+9=\\&\\&\frac{81}{8}-18+\frac 92+9=\\&\\&\frac{81+36}{8}-9=\\&\\&\frac{117}{8}-9 = \frac{117-72}{8}=\frac{45}{8}\end{align}$$

Y eso es todo.

Añade tu respuesta

Haz clic para o

Más respuestas relacionadas