Reducción a términos semejantes del siguiente ejercicio
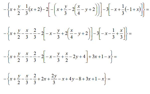
- {x+y/2-1/3(x+2)-2[-(x+y/3-2(x/4-y+2))]-3[-x+1/3(-1+x]}
Reducción a términos semejantes por favor
1 respuesta
Respuesta de Lucas m
1

