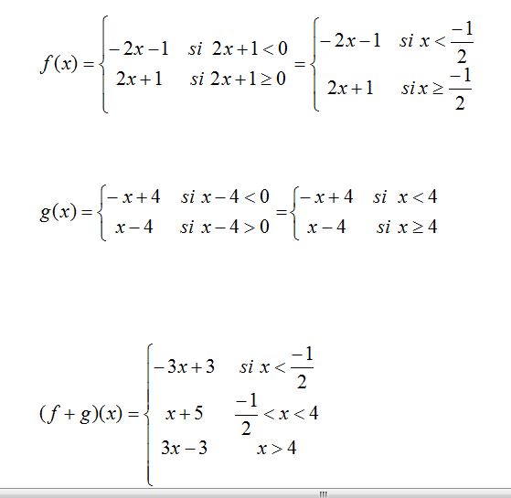
Dadas las funciones f(x) =|2x+1| y g(x) =|x-4| hallar la funcion por secciones para la funcion (f+g)(x)
Que tal me podrían ayudar con estos dos problemas se los agradecería
1.-dadas las funciones f(x) =|2x+1| y g(x) =|x-4| hallar la funcion por secciones para la funcion (f+g)(x)
2,. Dada la funcion f(x)=1/(x+1), hallar los valores xE tales que (f°f)(x)=x
2 Respuestas
                    Respuesta de Lucas m                
                
        
        
            
                2
              
        
        
        
            
            
        
    
                
                    Respuesta de Valero Angel Serrano Mercadal                
                
        
        
            
                1
              
        
        
        
            
            
        
    
                


 
        