Modelamiento Matemático - Funciones, Constantes, Determinar Verdadero o Falso

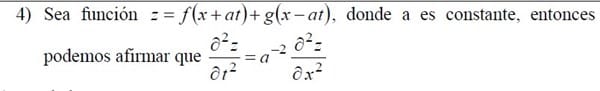
Sea la función dada arriba, se puede determinar si es verdadero o falso lo que expone. Necesitaría la resolución de la función para probar su resultado, muchas gracias
1 respuesta
Respuesta de Valero Angel Serrano Mercadal
1