11... Análisis libro lima.. Capitulo 2

1 respuesta

Respuesta
1

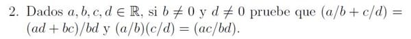
No me entretendré en los pasos que sean mera aplicación de las propiedades asociativa o conmutativa en este primero

$$\begin{align}&\frac{ad+bc}{bd}=(ad+bc)(bd)^{-1}=\\ &\\ &(ad+bc)b^{-1}d^{-1}=\\ &\\ &adb^{-1}d^{-1}+bcb^{-1}d^{-1}=\\ &\\ &ab^{-1}+cd^{-1}=\frac ab+ \frac cd\end{align}$$

$$\begin{align}&\frac{ac}{bd}=ac(bd)^{-1}=acb^{-1}d^{-1}=\\ &\\ &(ab^{-1})(cd^{-1}) =\left(\frac ab \right)· \left(\frac cd\right)\end{align}$$

Y eso es todo.

Añade tu respuesta

Haz clic para o

Más respuestas relacionadas