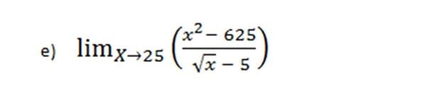
Me puedes ayudar con este taller de calcualacion de limites
con procedimiento
1 respuesta
Respuesta de Valero Angel Serrano Mercadal
1
con procedimiento