Ayúdenme a derivar por favor
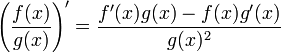
Como derivar (t^2-4t)/(t^3+1)^2 por favor si me pueden ayudar con el procedimiento
1 respuesta
Respuesta de Dani BP
1

