Yani Juarez

Yani Juarez

 México @yanijuarez desde - visto
Preguntar

Preguntas

Pregunta en y en 1 temas más

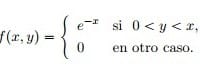
Sea (X, Y) un vector aleatorio continuo con distribución normal de parámetros

Probabilidad Sea (X, Y) un vector aleatorio continuo con distribución normal de parámetros Demuestre que la distribución marginal de X es
Sin respuestas
Pregunta en y en 1 temas más

Sea (X, Y) un vector aleatorio con función de probabilidad como aparece abajo.

Probabilidad Sea (X, Y) un vector aleatorio con función de probabilidad como aparece abajo. En cada caso encuentre las funciones de probabilidad marginales f_X (x) y f_Y (y)
Sin respuestas
Pregunta en y en 1 temas más

Sea (X, Y) un vector aleatorio discreto con función de probabilidad como indica la tabla de abajo

Probabilidad Sea (X, Y) un vector aleatorio discreto con función de probabilidad como indica la tabla de abajo. Encuentre y grafique la correspondiente función de distribución.
Sin respuestas
Pregunta en y en 1 temas más

Sean X y Y dos variables aleatorias continuas con función de densidad conjunta dada por la siguiente expresión

Probabilidad Probabilidad Sean X y Y dos variables aleatorias continuas con función de densidad conjunta dada por la siguiente expresión Y cuya gráfica es Encuentre P(X<=1/2, Y>=1/2) y P(Y>=1/2)
Sin respuestas
Pregunta en y en 1 temas más

Sean X y Y dos variables aleatorias discretas con función de probabilidad encuentre P(X>0, Y>=1)

Probabilidad Sean X y Y dos variables aleatorias discretas con funcion de probabilidad conjunta dada por la siguiente tabla: Encuentre P(X>0, Y>=1) y P(X<=1, Y<=1)
Sin respuestas
Pregunta en y en 1 temas más

Grafica la relación de la Ley Hooke para diferentes valores de la constante del resorte (1, 100, 1000 N/m), de 0 a 0.3m

Relaciones lineales Grafica la relación de la Ley Hooke para diferentes valores de la constante del resorte (1, 100, 1000 N/m), de 0 a 0.3m, y cuál es la diferencia entre las diferentes curvas
Pregunta en

El segmento dirigido AB tiene cosenos directores 6/7,-2/7,3/7. La distancia de AB es 7

Geometría analítica El segmento dirigido AB tiene cosenos directores 6/7, -2/7, 3/7. La distancia de AB es 7 y el punto B tiene coordenadas (8, -2, 12). Calcula las coordenadas de A.
Sin respuestas
Pregunta en

Halla los números directores de un segmento de recta que va de P1 (1,-2,3) a P2 (0,5,-1)

Geometría analítica Halla los números directores de un segmento de recta que va de P1 (1,-2,3) a P2 (0,5,-1)
Pregunta en

Encuentra la distancia entre los puntos (2,1,-3) y (7,1,4)

Geometría analítica Encuentra la distancia entre los puntos (2, 1, -3) y (7, 1, 4)
Pregunta en

Encuentra un tercer punto de la forma (0, y, 0) tal que forme un triángulo isósceles en el espacio con los puntos (1, -3, 7)

Geometría analítica Encuentra un tercer punto de la forma (0, y, 0) tal que forme un triángulo isósceles en el espacio con los puntos (1, -3, 7) y (5, 7, -5)