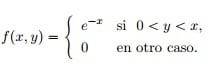
Sea (X, Y) un vector aleatorio con función de probabilidad como aparece abajo.
Probabilidad
Sea (X, Y) un vector aleatorio con función de probabilidad como aparece abajo. En cada caso encuentre las funciones de probabilidad marginales f_X (x) y f_Y (y)
