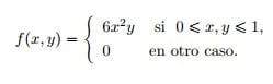
Sean X y Y dos variables aleatorias continuas con función de densidad conjunta dada por la siguiente expresión
Probabilidad
Probabilidad
Sean X y Y dos variables aleatorias continuas con función de densidad conjunta dada por la siguiente expresión

Y cuya gráfica es

Encuentre P(X<=1/2, Y>=1/2) y P(Y>=1/2)