Yani Juarez

Yani Juarez

 México @yanijuarez desde - visto
Preguntar

Preguntas

Pregunta en y en 3 temas más

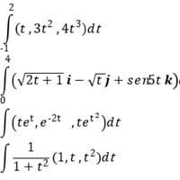
Integrales. Evaluar cada integral dada

Matemáticas: Integrales de funciones vectoriales Evaluar cada integral dada
Sin respuestas
Pregunta en y en 3 temas más

Calcular la longitud de arco de curva dado

Derivadas Calcular la longitud de arco de curva dado
Sin respuestas
Pregunta en y en 2 temas más

Calcular la derivada del producto de dos funciones vectoriales (si es que es posible)

Reglas de diferenciación de productos de funciones vectoriales Calcular la derivada del producto de dos funciones vectoriales (si es que es posible) de Producto por un escalarProducto interno (o producto punto o producto escalar)Producto cruz (o...
Sin respuestas
Pregunta en y en 3 temas más

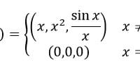
Continuidad. Es continua la siguiente función en ?=0

Límites, derivadas y continuidad Es continua la siguiente función en ?=0
Pregunta en y en 3 temas más

Calcule el dominio y el siguiente limite

Límites, derivadas y continuidad Resuelve el siguiente ejercicio: Calcule el dominio y de:
Sin respuestas
Pregunta en y en 2 temas más

Encuentra la solución general de la ecuación de Euler Cauchy

Ecuaciones de grado n Encuentra la solución general de la ecuación de Euler Cauchy:
Sin respuestas
Pregunta en y en 2 temas más

Encuentra una solución particular a las siguientes ecuaciones

Ecuaciones de grado n Encuentra una solución particular a las siguientes ecuaciones: a) y(v)+2y'''+2y''=3x2-1 b) y''+9y= 2sec 3x
Sin respuestas
Pregunta en y en 1 temas más

Verificar que la siguiente función es una parametrización de la circunferencia con centro en (0,0)

Ecuaciones paramétricas Verificar que la función es una parametrización de la circunferencia con centro en (0,0) y radio 1 menos el punto (−1,0)
Pregunta en y en 1 temas más

Encontrar la trayectoria (función vectorial) que describe la curva de la siguiente gráfica.

Función vectorial Encontrar la trayectoria (función vectorial) que describe la curva de la siguiente gráfica.
Pregunta en y en 1 temas más

Calcular las siguientes derivadas P(t)= (1 − t,t^(-2), Lt), P′ (t)

Ecuaciones paramétricas Calcular las siguientes derivadas 1. P(t)= (1− t,t^(-2), Lt), P′(t) 2. R(t)=(t^(-2), (t+1)^(-1),t^3-1), R′(t)
Sin respuestas