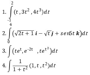
MatemáticasCálculoCiencias e IngenieríaProfesores Yani Juarez el 4 nov. 17 Integrales. Evaluar cada integral dada Matemáticas: Integrales de funciones vectorialesEvaluar cada integral dada Seguir Siguiendo Dejar de seguir