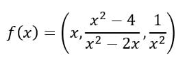
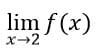
MatemáticasCálculoProfesoresCiencias e Ingeniería Yani Juarez el 4 nov. 17 Calcule el dominio y el siguiente limite Límites, derivadas y continuidadResuelve el siguiente ejercicio:Calcule el dominio yde: Seguir Siguiendo Dejar de seguir