Valero Angel Serrano Mercadal

Valero Angel Serrano Mercadal

Me voy x tiempo. Necesito hacer otras cosas, descansar y que cambien algunas cosas.
 5.867K puntos  Aragón, España @valeroasm desde - visto

Respuestas en Estadística y Probabilidad

Respuesta en y en 1 temas más a

Probabilidad con un mazo de cartas

· No está bien hay un fallo. La probabilidad de que la primera sea roja es 6/16 La de que lo sea la segunda es 5/15 la tercera 4/14 la cuarta 3/13 la quinta 2/12 Y la sexta 1/11 . Luego la probabilidad es 6·5·4·3·2·1 / (16·15·14·13·12·11) = 720 /...
Respuesta en y en 1 temas más a

Tengo una duda de como resolver el ejercicio de probabilidad continua

· CI ~ N(100, 15) Para tipificarlo hay que restar 100 y dividir entre 15 a) P(X<=95) = P[Z<=(95-100)/15] = P(Z<=-5/15) = P(Z<=-0.3333...) = 1 - P(Z<=0.3333...) = 1- 0.6306 = 0.3694 · b) P(X>95) = 1 -P(X<=95) = 1 - 0.3694 = 0.6306 · c) Hay que buscar...
Respuesta en y en 1 temas más a

Ejercicios de distribución continuas de probabilidad

· Tenemos una variable X ~ N(16,4) La tipificaremos restándole la media y dividiendo por la desviación obteniendo una Z ~ N(0,1) P(X<22) = P[Z< (22-16)/4] = P(Z < 6/4) = P(Z < 1.5) = Y esto lo buscamos en la tabla o lo obtenemos con algún programa =...
Respuesta en y en 3 temas más a

Tengo una inquietud con este problema de v.a continuas ya que sale una integral algo compleja

· Haremos la integral definida entre 0 e infinito y su valor debe ser 1. Pero como la integral no es sencilla que necesita dos pasos, de momento calcularemos la indefinida, que los límites molestan mucho en las integrales por partes. Y eso es todo,...
Respuesta en y en 1 temas más a

Como se hace este problema para una función de densidad de probabilidad.

Podemos hallar la función de distribución integrando la de densidad Y esta ecución no se puede resolver de manera algebraíca. Asi que supongo os habrán dicho como se tiene que resolver porque es algo que se sale completamente de lo común. A lo mejor...
Respuesta en y en 1 temas más a

Tengo una duda con este problema fdp para una variable aleatoria continua.

· La formula de la esperanza para las variables continuas es: c) No, no lo rebasará. Porque la desviación estandar será la raíz cuadrada de la varianza = $126.49. Entonces la distancia entre los $2000 y la media de costo es $2000 - $1200 = $800 y...
Respuesta en y en 1 temas más a

Ejercicio sobre variable aleatoria continua con funcion de demsidad

· Para que sea una función de densidad debe cumplir que la integral de la función de densidad entre - infinito e infinito sea 1. No ha salido bien el cuadro donde defines la función, Creo que podría ser a(3x-x^2) si 0<=x<=2 0 en otro caso Si es otra...
Respuesta en y en 1 temas más a

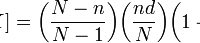
Variables aleatorias y distribuciones de probabilidad

· La distribución es una hipergeométrica tal como hizo Gustavo. Pero el problema muchas veces es que te olvides de la complicada expresión de la probabilidad de esa distribución. Entonces puedes hacelo por deducción. Un embarque de 8 televisores...
Respuesta en y en 1 temas más a

Como se hace este problema de probabilidad

· Ya te han respondido la pregunta bastante bien, solo voy a completar algún apartado. c) La función de masa de una variable aleatoria discreta es la probabilidad de cada elemento, es esta: P(0) = 0.15 P(1) = 0.4 P(2) = 0.25 P(3) = 0.15 P(4) = 0.05...
Respuesta en y en 1 temas más a

Duda con este problema de probabilidad

· a) Debe tener 2 peces de la especie A entre los 9 primeros y luego debe ser de la especie A el décimo. Lo primero se calcula con una binomial B(9, 0.2) y se multiplica por 0.2 b) La variable es una binomial negativa. Sabemos que si el número de...