tmoli

tmoli

 23,2K puntos  España @tmoli desde - visto
Preguntar

Respuestas

Respuesta en a

Tengo una duda sobre un ejercicio de lógica matemática

· · ¡Hola Willian! Ya respondí este problema que tiene mucha más miga de la que pueda parecer al principio. Seguramente quien puso este ejercicio no se dio cuenta de las consecuencias. Interpretación, el planteamiento y la solución del enunciado...
Respuesta en y en 2 temas más a

Problema 4. Una elipse tiene centro en (-4,-2), y un foco está en (6,-2); además pasa por el punto Q(-4,-7). Hallar la ecuación

· · ¡Hola Oscar! El centro y el foco están en horizontal en la recta y=-2 Eso significa que su forma canónica es esta: Y esta es la comprobación: Y eso es todo, sa lu dos. : :

Situaciones problemicas de la inferencia lógica

· · ¡Hola Jotta! Para empezar llamaremos siempre Alberto al cliente de Juan. Si Alberto gana la apelación, entonces María se retira del buffet de abogados. María se retira del buffet de abogados si y sólo si Alberto no es llevado a prisión. Por lo...
Respuesta en y en 2 temas más a

Tengo una duda sobre un Ejercicio de lógica matemática

· · ¡Hola Jhon! Las proposiciones simples son: p =Teresa tiene cuatro años de edad q = Teresa tiene la edad de Juliana. r = Jacinto tiene la edad de Teresa s = Jacinto tiene la edad de Juliana Teresa tiene cuatro años y Jacinto tiene la misma edad...
Respuesta en a

Leyes de indiferencia para dar a conocer y solucionar

· · ¡Hola Jorge! Razonamiento deductivo es cualquiera de estos ejercicios que te ponen para solucionar por reglas de inferencia o tabla de verdad. Voy a poner las premisas de una situación fácilmente solucionable por deducción 1) p --> q 2) p v r 3)...
Respuesta en y en 3 temas más a

Situaciones Problémicas De La Inferencia Lógica

· · ¡Hola Oscar! Las proposiciones simples son. p = Jaime posee un promedio más alto que Pablo q = Martha posee un promedio más bajo que Aura. r = Jaime y Lina tienen el mismo promedio Y las premisas que nos dan son: 1) p --> q 2) ~q 3) r --> p Y la...
Respuesta en y en 3 temas más a

Situación problemática de la inferencia lógica fase grupal

· · ¡Hola Oscar! Yo por mi parte no voy a trabajar con V, F; no lo he hecho en mi vida. Es mucho más claro trabajar con 0, 1 y con V, F sería incapaz de hacer bien las tablas de verdad. Que se chinge el profesor. Este es un ejercicio que ya hice y...
Respuesta en a

Reglas de indiferencia para dar respuesta a algunas información

· · ¡Hola Jorge! Pero me tienes que decir cuál es la tarea 2, el enunciado por lo menos. Y si la respondí o la has hecho por tu cuenta, el enlace o una imagen. Sa lu dos. : :
Respuesta en y en 3 temas más a

Proceso operativo con la tabla de verdad y de la aplicabilidad de las leyes de inferencia de la resolución y demostración

· · ¡Hola Jhon! Las proposiciones simples son. p = Jaime posee un promedio más alto que Pablo q = Martha posee un promedio más bajo que Aura. r = Jaime y Lina tienen el mismo promedio Y las premisas que nos dan son: 1) p --> q 2) ~q 3) r --> p Y la...
Respuesta en a

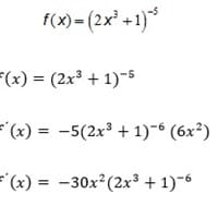
Derivadas El ejercicio 5, todavía la respuesta tiene arreglo algebraico, no se puede dar respuestas con exponentes negativos.

· · ¡Hola Oscar! Podrías dejar así el resultado pero si no quieres dejar el exponente negativo ten en cuenta que por definición es Y eso es todo, sa lu dos. : :