tmoli

tmoli

 23,2K puntos  España @tmoli desde - visto
Preguntar

Respuestas

Respuesta en y en 1 temas más a

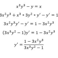
En el ejercicio 11, piden dX/dY o sea X' y estás resolviéndolo como dY/dX o sea Y'

· · ¡Hola Oscar! Debes cambiar el papel de la x y la y. Ahora tu función es x = f(y) Tienes que derivar respecto de y luego cuando tengas la x su derivada será x' y cuando tengas la y su derivada será 1 y aparte aplicarás la regla de la cadena donde...
Respuesta en a

Como obtener el número 655 a partir de operaciones matemáticas básicas con estos otros seis números: 45 19 66 44 23 55

· · ¡Hola Carlos! Por operaciones elementales entiendo suma, resta y multiplicación. La división es harto complicada y la mayoría de las veces no da resultado exacto, te tendrían que decir si se pueden usar resultados enteros inexactos o no. Pues he...

Hallar la suma de todos los numeros desde el 1 al 2016 q no tenga ningun 9 y ningun 0.

Dividelo en tres partes: a)Del 1 al 999 Tienes tres lugares donde puedes poner las cifras que quieras, todas tienen los mismos derechos luego tantas veces aparecerá el 1 en primer lugar como el 8 y como los intermedios, y lo mismo en segundo y tercer...

Me podrian ayud@r con este ejercicio de campo eléctrico?

· · ¡Hola Jhonatan! Es una integral. Lo que yo llevo mal es la Física y no me aclaro con las diversas formas de la fórmula del campo ya sea con la constante K o con el épsilon. Pero lo que debes fijarte es que el rectángulo es simétrico respecto del...
Respuesta en y en 1 temas más a

El resorte del indicador de presión mostrado en la figura tiene una constante de elasticidad de 1 000 N / m, y el pistón tiene

· · ¡Hola Oscar! Veamos la fuerza necesaria para bajar 0.5cm el pistón. Como la constante de elasticidad nos la dan en N/m y además las medidas preferidas son las del sistema internacional habrá que traducir los cm a m. 0.5cm = 0.005m La fuerza que...
Respuesta en a

Aplicación de las reglas de inferencia

·::.::.:.:..: ·;.:;.;:;:.,.: ¡H o l a Jorge! Que asco la máquina que no me deja escribir lo mismo que en la otra respuesta. Veo que no valoraraste apropiadamente las preguntas de Valero Angel. Hay que valorar Excelente las respuestas si quieres que...
Respuesta en a

Problemas de aplicación I para dar solución

· · ¡Hola Jorge! Veo que nunca has valorado con Excelente las preguntas de Valero Angel Serrano Mercadal. Debes valorar con Excelente las respuestas si quieres que te contestemos. Repasa tus preguntas respondidas y cambia la valoración a Excelente...

Duda en ejercicios de radicales

· · ¡Hola Teresa! Luego el primero no lo tienes bien y el segundo sí. Sa lu dos. : :
Respuesta en y en 3 temas más a

Encuentre la ecuación del conjunto de todos los puntos de intersección de los dos planos ?1=2?−?+3?=2 ?2=?−3?+4?=9

· · ¡Hola Elkin! Tenemos dos ecuaciones de tres incógnitas, suponiendo que sean independientes, que lo son, es sun sistema compatible indeterminado dependiente de un parámetro. Tomaremos como parámetro una de las incógnitas, yo elijo siempre la z. El...
Respuesta en y en 2 temas más a

Solucionar los siguientes enunciados y demostrar la validez o no validez del argumento dado a través de

·:> ·>: ¡Hola Astrid! No usan el lenguaje estricto de la lógica, se supone que quieren decir: "Si el reloj marcaba las 8:00 de la noche, entonces Carlos salió de su trabajo a las 7:00 pm y vio salir a Jaime de la empresa. Si la información de Jaime...